Address:Room 906, building 6, SIIC Center, No.195 Hong Kong East Road, Laoshan District, Qingdao city, Shandong Province, China
E-mail:info@deltachem.net
During plastic production and use process, due to the structural characteristics of the material and processing temperature, oxygen, light, air pollutants and other external environmental factors, plastics age very easily.
Changes in the visual appearance are mainly manifested in discoloration, brittle cracks, etc.. Changes in macro performance are mainly manifested in the breaking strength and elongation of the sharp decline in the service life of the products is greatly shortened. Plastic aging causes a great waste of materials, waste products in the natural conditions and difficult to degrade and return to nature, which in turn causes pollution to the environment.

Antioxidant is one of the effective methods to solve the aging of plastics, among which hindered phenolic antioxidants are widely used in the plastic modification industry for their excellent performance.
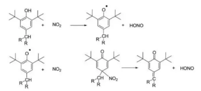
However, hindered phenolic antioxidants are easy to interact with nitrogen oxides in the air pollutants and cause yellowing, i.e., NOx fumigation yellowing, which makes the color of products change, and the visual effect deteriorates, affecting the aesthetics of products.

NOx fumigation yellowing reaction of Hindered phenolic antioxidant
Hydroxylamine phenol-free antioxidant - OMNISTAB AN9142, can effectively avoid the problem of nitrogen oxide gas fading discoloration encountered by hindered phenolic antioxidants.
OMNISTAB AN9142 has good color protection, high compatibility, low volatility and stable high-temperature storability, and performs particularly well as a stabilizer in melt processing treatments. It is more effective than traditional hindered phenolic antioxidants in inhibiting gas fading and discoloration.
AN9142 is mainly used in polyolefin, nylon film and spinning materials. AN9142 is particularly suitable for systems that require strict color protection and are not susceptible to "gas fading" or "phenol yellowing". As well as improving polymer melt stability, whiteness, spinning and film production. Optimized performance can be achieved by combining OMNISTAB AN9142 with phosphate acid based antioxidants.